알고리즘 연습/정수론 및 조합론
[🥈1 / 백준 11051 / 파이썬] 이항 계수 2
김세진
2021. 6. 23. 19:19
반응형
11051번: 이항 계수 2
첫째 줄에 \(N\)과 \(K\)가 주어진다. (1 ≤ \(N\) ≤ 1,000, 0 ≤ \(K\) ≤ \(N\))
www.acmicpc.net
문제
자연수 N과 정수 K가 주어졌을 때 이항 계수 (NK)를 10,007로 나눈 나머지를 구하는 프로그램을 작성하시오.
입력
첫째 줄에 N과 K가 주어진다. (1 ≤ N ≤ 1,000, 0 ≤ K ≤ N)
출력
(NK)를 10,007로 나눈 나머지를 출력한다.
예제 입력5 2 |
예제 출력10 |
풀이
이번 문제에선 입력의 범위가 10에서 1000으로 늘어났다.
1000팩토리얼은 어마어마하게 큰 숫자이기 때문에 당연히 메모리초과가 일어날 것이다.

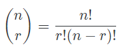
이항 계수의 식을 확인해 보자.
n! 으로 나열될 숫자가 만약 분모에 존재한다면 약분이 가능하다.
굳이 분자를 모두 계산한 뒤 분모를 모두 계산하고 이를 나눠줄 필요가 없다는 말이다.
분자에서 서로 곱하기 전의 리스트를 만든 뒤에 분모도 마찬가지로 만들어주고
약분한 뒤 계산하도록 하자.
n, k = map(int,input().split())
def factorial(num):
result = []
for i in range(2, num+1):
result.append(i)
return result
# 곱해주어야 할 숫자들의 리스트를 반환한다.
k = factorial(k) + factorial(n-k)
n = factorial(n)
# 순서에 유의. k가 먼저
while(True):
for i in n:
if i in k:
n.remove(i)
k.remove(i)
break
else:
break
# 겹치는 것 모두 약분
result = 1
for i in n:
result *= i
for i in k:
result //= i
print(result%10007)반응형