[🥇3 / 백준 11444 / 파이썬] 피보나치 수 6
11444번: 피보나치 수 6
첫째 줄에 n이 주어진다. n은 1,000,000,000,000,000,000보다 작거나 같은 자연수이다.
www.acmicpc.net
문제
피보나치 수는 0과 1로 시작한다. 0번째 피보나치 수는 0이고, 1번째 피보나치 수는 1이다. 그 다음 2번째 부터는 바로 앞 두 피보나치 수의 합이 된다.
이를 식으로 써보면 Fn = Fn-1 + Fn-2 (n ≥ 2)가 된다.
n=17일때 까지 피보나치 수를 써보면 다음과 같다.
0, 1, 1, 2, 3, 5, 8, 13, 21, 34, 55, 89, 144, 233, 377, 610, 987, 1597
n이 주어졌을 때, n번째 피보나치 수를 구하는 프로그램을 작성하시오.
입력
첫째 줄에 n이 주어진다. n은 1,000,000,000,000,000,000보다 작거나 같은 자연수이다.
출력
첫째 줄에 n번째 피보나치 수를 1,000,000,007으로 나눈 나머지를 출력한다.
예제 입력1000 |
예제 출력517691607 |
풀이
n번째 피보나치 수를 구하는 문제이다.
저번에는 재귀 대신 F(n) = F(n-1) + F(n-2) 라는 공식을 이용하여 다이나믹 프로그래밍으로 풀었다.
하지만 이번 문제에선 입력값이 자비없기 때문에 O(n)의 알고리즘으론 택도 없을 것이다.
따라서 O(logN)의 알고리즘으로 수행하도록 하자.
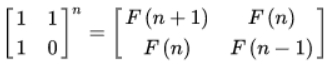
행렬과 피보나치가 과연 무슨 관계인가 검색을 해보았더니 아래와 같은 공식이 성립한다고 한다.

위 행렬의 n 제곱만 구한다면 피보나치 수를 구할 수 있는 것이다.
행렬 제곱은 이전 문제에서 풀었으므로, 아래의 포스팅을 참고하길 바란다.
[백준 10830] 행렬 제곱
문제 크기가 N*N인 행렬 A가 주어진다. 이때, A의 B제곱을 구하는 프로그램을 작성하시오. 수가 매우 커질 수 있으니, A^B의 각 원소를 1,000으로 나눈 나머지를 출력한다. 입력 첫째 줄에 행렬의 크
my-coding-notes.tistory.com
정답 코드
import sys
input = sys.stdin.readline
n, B = 2, int(input())
A = [[1,1],[1,0]]
def power(a,b,n):
cal = []
for i in range(n):
temp = []
for j in range(n):
num = 0
for k in range(n):
num += a[i][k] * b[k][j]
temp.append(num%1000000007)
cal.append(temp)
return cal
# 행렬의 곱셉을 함수화 해보았다.
def dac(s,b):
if b == 1:
return s
a = dac(s,b//2)
cal = power(a,a,n)
result = []
if b % 2:
result = power(cal,A,n)
else:
result = cal
return result
print(dac(A,B)[0][1])
