반응형
1991번: 트리 순회
첫째 줄에는 이진 트리의 노드의 개수 N(1 ≤ N ≤ 26)이 주어진다. 둘째 줄부터 N개의 줄에 걸쳐 각 노드와 그의 왼쪽 자식 노드, 오른쪽 자식 노드가 주어진다. 노드의 이름은 A부터 차례대로 알파
www.acmicpc.net
문제
이진 트리를 입력받아 전위 순회(preorder traversal), 중위 순회(inorder traversal), 후위 순회(postorder traversal)한 결과를 출력하는 프로그램을 작성하시오.

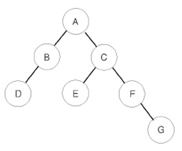
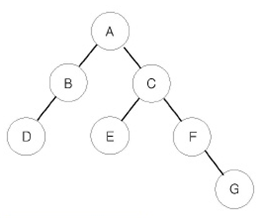
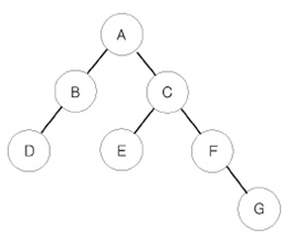
예를 들어 위와 같은 이진 트리가 입력되면,
- 전위 순회한 결과 : ABDCEFG // (루트) (왼쪽 자식) (오른쪽 자식)
- 중위 순회한 결과 : DBAECFG // (왼쪽 자식) (루트) (오른쪽 자식)
- 후위 순회한 결과 : DBEGFCA // (왼쪽 자식) (오른쪽 자식) (루트)
가 된다.
입력
첫째 줄에는 이진 트리의 노드의 개수 N(1 ≤ N ≤ 26)이 주어진다. 둘째 줄부터 N개의 줄에 걸쳐 각 노드와 그의 왼쪽 자식 노드, 오른쪽 자식 노드가 주어진다. 노드의 이름은 A부터 차례대로 알파벳 대문자로 매겨지며, 항상 A가 루트 노드가 된다. 자식 노드가 없는 경우에는 .으로 표현한다.
출력
첫째 줄에 전위 순회, 둘째 줄에 중위 순회, 셋째 줄에 후위 순회한 결과를 출력한다. 각 줄에 N개의 알파벳을 공백 없이 출력하면 된다.
예제 입력7
A B C B D . C E F E . . F . G D . . G . . |
예제 출력ABDCEFG
DBAECFG DBEGFCA |
풀이
전위, 중위, 후위 순회의 규칙에 따라 트리를 순회한다.
완전이진트리가 아니고, 문자열 기준으로 탐색을 진행해야 하므로 딕셔너리를 사용했다.
import sys
input = sys.stdin.readline
def preorder(v,ans):
ans += v
for i in tree[v]:
if i == ".":
continue
ans = preorder(i,ans)
return ans
def inorder(v,ans):
if v == ".":
return ans
l,r = tree[v]
ans = inorder(l,ans)
ans += v
ans = inorder(r,ans)
return ans
def postorder(v,ans):
if tree[v] == (".","."):
return ans + v
for i in tree[v]:
if i == ".":
continue
ans = postorder(i,ans)
return ans + v
n = int(input())
tree = dict()
for _ in range(n):
v,l,r = input().rstrip().split()
tree[v] = (l,r)
print(preorder("A",""))
print(inorder("A",""))
print(postorder("A",""))반응형
'알고리즘 연습 > 트리' 카테고리의 다른 글
| [🥇2 / 백준 2263 / 파이썬] 트리의 순회 (0) | 2022.04.10 |
|---|---|
| [🥇5 / 백준 1068 / 파이썬] 트리 (0) | 2022.01.30 |
| [🥇3 / 백준 1167 / 파이썬] 트리의 지름 (2) | 2021.10.05 |
| [🥇4 / 백준 1967 / 파이썬] 트리의 지름 (0) | 2021.10.05 |
| [🥈2 / 백준 11725 / 파이썬] 트리의 부모 찾기 (0) | 2021.10.05 |